机器学习业务应用以输出决策判断为目标。可解释性是指人类能够理解决策原因的程度。机器学习模型的可解释性越高,人们就越容易理解为什么做出某些决定或预测。模型可解释性指对模型内部机制的理解以及对模型结果的理解。其重要性体现在:建模阶段,辅助开发人员理解模型,进行模型的对比选择,必要时优化调整模型;在投入运行阶段,向业务方解释模型的内部机制,对模型结果进行解释。比如基金推荐模型,需要解释:为何为这个用户推荐某支基金。
机器学习流程步骤:收集数据、清洗数据、训练模型、基于验证或测试错误或其他评价指标选择最好的模型。第一步,选择比较小的错误率和比较高的准确率的高精度的模型。第二步,面临准确率和模型复杂度之间的权衡,但一个模型越复杂就越难以解释。一个简单的线性回归非常好解释,因为它只考虑了自变量与因变量之间的线性相关关系,但是也正因为如此,它无法处理更复杂的关系,模型在测试集上的预测精度也更有可能比较低。而深度神经网络处于另一个极端,因为它们能够在多个层次进行抽象推断,所以他们可以处理因变量与自变量之间非常复杂的关系,并且达到非常高的精度。但是这种复杂性也使模型成为黑箱,我们无法获知所有产生模型预测结果的这些特征之间的关系,所以我们只能用准确率、错误率这样的评价标准来代替,来评估模型的可信性。
事实上,每个分类问题的机器学习流程中都应该包括模型理解和模型解释,下面是几个原因:
可解释性特质:
在工业界中,数据科学或机器学习的主要焦点是更偏“应用”的解决复杂的现实世界至关重要的问题,而不是理论上有效地应用这些模型于正确的数据。机器学习模型本身由算法组成,该算法试图从数据中学习潜在模式和关系,而无需硬编码固定规则。因此,解释模型如何对业务起作用总是会带来一系列挑战。有一些领域的行业,特别是在保险或银行等金融领域,数据科学家通常最终不得不使用更传统的机器学习模型(线性或基于树的)。原因是模型可解释性对于企业解释模型所采取的每个决策非常重要。
残酷的现实是,如果没有对机器学习模型或数据科学pipeline如何运作的合理理解,现实中的项目很少成功。现实中的数据科学项目,通常会有业务和技术两方面。数据科学家通常致力于构建模型并为业务提供解决方案。但是,企业可能不知道模型如何工作的复杂细节。
数据科学从业者将知道存在典型的模型可解释性与模型性能权衡。这里需要记住的一点是,模型性能不是运行时或执行性能,而是模型在决策中的准确程度。有几种模型,包括简单的线性模型甚至是基于树的模型,它们可以很容易地解释模型为获得特定的洞察力或预测而做出的决策,但是你可能需要牺牲模型性能,因为它们总是不能产生最好的结果是由于高偏差(线性模型)或高方差的固有问题,导致过度拟合(完全成长的树模型)。更复杂的模型,如集合模型和最近的深度学习模型系列通常会产生更好的性能,但被认为是黑盒模型,因为很难解释模型如何真正做出决定。


模型解释作为一个概念仍然主要是理论和主观的。任何机器学习模型的核心都有一个响应函数,它试图映射和解释独立(输入)自变量和(目标或响应)因变量之间的关系和模式。当模型预测或寻找见解时,需要做出某些决定和选择。模型解释试图理解和解释响应函数所做出的这些决定,即what,why以及how。模型解释的关键是透明度,质疑能力以及人类理解模型决策的难易程度。模型解释的三个最重要的方面解释如下。
在比较模型时,除了模型性能之外,如果模型的决策比其他模型的决策更容易理解,那么模型被认为比其他模型具有更好的可解释性。
在解决机器学习问题时,数据科学家往往倾向于关注模型性能指标,如准确性,精确度和召回等等(毫无疑问,这很重要!)。这在大多数围绕数据科学和机器学习的在线竞赛中也很普遍。但是,指标只能说明模型预测决策的部分故事。随着时间的推移,由于环境中的各种因素导致的模型概念漂移,性能可能会发生变化。因此,了解推动模型采取某些决策的因素至关重要。
如果一个模型工作得很好,为什么还要深入挖掘呢?在解决现实世界中的数据科学问题时,为了让企业信任您的模型预测和决策,他们会不断提出“我为什么要相信您的模型?”这一问题,这一点非常有意义。如果一个人患有癌症或糖尿病,一个人可能对社会构成风险,或者即使客户会流失,您是否会对预测和做出决策(如果有的话)感到满意?也许不是,如果我们能够更多地了解模型的决策过程(原因和方式),我们可能会更喜欢它。这使我们更加透明地了解模型为何做出某些决策,在某些情况下可能出现的问题,并且随着时间的推移它有助于我们在这些机器学习模型上建立一定程度的信任。
这是我们在本文中多次讨论的内容,也是决定数据科学项目在行业中取得成功的关键区别之一。这推动了模型解释的必要性和重要性的紧迫性。
有一些特定的标准可用于分类模型解释方法。Christoph Molnar,2018年“可解释的机器学习,制作黑箱模型可解释指南”中提到了一个很好的指南。
如何定义可解释性的范围和界限?一些有用的方面可以是模型的透明度,公平性和责任性。全局和局部模型解释是定义模型解释范围的明确方法。


全局可解释:就是试图理解“模型如何进行预测?”和“模型的子集如何影响模型决策?”。要立即理解和解释整个模型,我们需要全局可解释性。全局可解释性是指能够基于完整数据集上的依赖(响应)变量和独立(预测变量)特征之间的条件交互来解释和理解模型决策。尝试理解特征交互和重要性始终是理解全球解释的一个很好的一步。当然,在尝试分析交互时,在超过两维或三维之后可视化特征变得非常困难。因此,经常查看可能影响全局知识模型预测的模块化部分和特征子集会有所帮助。全局解释需要完整的模型结构,假设和约束知识。
局部解释:试图理解“为什么模型为单个实例做出具体决策?”和“为什么模型为一组实例做出具体决策?”。对于本地可解释性,我们不关心模型的固有结构或假设,我们将其视为黑盒子。为了理解单个数据点的预测决策,我们专注于该数据点并查看该点周围的特征空间中的局部子区域,并尝试基于该局部区域理解该点的模型决策。本地数据分布和特征空间可能表现完全不同,并提供更准确的解释而不是全局解释。局部可解释模型 - 不可知解释(LIME)框架是一种很好的方法,可用于模型不可知的局部解释。我们可以结合使用全局和局部解释来解释一组实例的模型决策。
模型透明度:为试图理解“如何根据算法和特征创建模型?”。我们知道,通常机器学习模型都是在数据特征之上利用算法来构建将输入映射到潜在输出(响应)的表示。模型的透明度可能试图了解模型的构建方式以及可能影响其决策的更多技术细节。这可以是神经网络的权重,CNN滤波器的权重,线性模型系数,决策树的节点和分裂。但是,由于业务可能不太精通这些技术细节,因此尝试使用不可知的局部和全局解释方法来解释模型决策有助于展示模型透明度。
对于想要了解模型如何工作的数据科学家来说,评估模型的准确性通常是不够的。数据科学家通常想知道模型输入变量如何工作以及模型的预测如何根据输入变量的值而变化。
机器学习算法和模型的工程应用中用到最多的主要是树类模型(lgb,xgb)和神经网络(cnn, rnn),使用者往往习惯于很少去思考其中的含义和解释性。需要思考一个模型的哪些东西是可解释的?
所以有几个问题值得讨论:
为什么这些解释信息是有价值的呢:


Confusion Matrix
一个完美的分类模型就是,如果一个客户实际上属于类别 good,也预测成good,处于类别 bad,也就预测成 bad。实际上一些是 good 的客户,根据我们的模型,却预测他为 bad,对一些原本是 bad 的客户,却预测他为 good。我们需要知道,这个模型到底预测对了多少,预测错了多少,混淆矩阵就把所有这些信息,都归到一个表里:


Sensitivity(覆盖率,True Positive Rate)= 正确预测到的正例数 / 实际正例总数;Recall (True Positive Rate,or Sensitivity) =true positive/total actual positive=d/c+d;
PV+ (命中率,Precision, Positive Predicted Value) = 正确预测到的正例数 / 预测正例总数;Precision (Positive Predicted Value, PV+) =true positive/ total predicted positive=d/b+d;
Specificity (负例的覆盖率,True Negative Rate) = 正确预测到的负例个数 / 实际负例总数;Specificity (True Negative Rate) =true negative/total actual negative=a/a+b;
图中关于混淆矩阵结果理解:recall:0.54;precision:0.915;specificity:0.95;
Lift
它衡量的是,与不利用模型相比,模型的预测能力 “变好” 了多少。实质上它强调的是投入与产出比。不利用模型,我们只能利用 “正例的比例是 c+d/a+b+c+d” 这个样本信息来估计正例的比例(baseline model),而利用模型之后,我们不需要从整个样本中来挑选正例,只需要从我们预测为正例的那个样本的子集(b+d)中挑选正例,这时预测的准确率为 d/b+d。
显然,lift(提升指数)越大,模型的运行效果越好。如果这个模型的预测能力跟 baseline model 一样,那么 d/b+d 就等于 c+d/a+b+c+d(lift 等于 1),这个模型就没有任何 “提升” 了(套一句金融市场的话,它的业绩没有跑过市场)。
ROC曲线 & PR曲线 & KS曲线
实际应用中,通常是先基于训练好的分类器得出测试样本的预测概率,然后将该测试样本的预测概率与给定的阈值进行比较,若该预测概率大于给定阈值,则将该测试样本划分为正类,反之则将其划分为反类。对于不同的分类任务,该分类阈值的取值也是不一样的。


Cumulative gains chart
横坐标表示:代表我们样本的百分比,假设有10000个样本,0.1代表1000个,1代表10000个样本。
纵坐标表示:代表横轴所代表的那么多样本中,判断正确的比率。
baseline表示:如果我们不用模型,那我们对每一个人的打分都是一样的,正率在所有样本空间都是一样的,连接起来就成为一条直线。
曲线含义:采用模型进行预测。y值的分子代表模型预测且预测为正例的人数,分母是整个群体正例人数。
Silhouette Analysis
Silhouette指的是一种解释和验证数据集群内一致性的方法。该技术提供了每个对象分类的简洁图形表示。
轮廓值是对象与其自身群集(内聚)相比与其他群集(分离)相似程度的度量。轮廓范围从-1到+1,其中高值表示对象与其自己的簇很好地匹配并且与相邻簇很不匹配。如果大多数对象具有高值,则群集配置是合适的。如果许多点具有低值或负值,则群集配置可能具有太多或太少的群集。
图中通过Silhouette方法大致对数据集样本分类有了掌握,可以看到0/1类别大致比例。
Learning Curve
概念:学习曲线就是通过画出不同训练集大小时训练集和交叉验证的准确率,可以看到模型在新数据上的表现,进而来判断模型是否方差偏高或偏差过高,以及增大训练集是否可以减小过拟合。
Bias是用所有可能的训练数据集训练出的所有模型的输出的平均值与真实模型的输出值之间的差异。
Variance是不同的训练数据集训练出的模型输出值之间的差异。
解读:当训练集和测试集的误差收敛但却很高时,为高偏差。左上角的偏差很高,训练集和验证集的准确率都很低,很可能是欠拟合。我们可以增加模型参数,比如,构建更多的特征,减小正则项。此时通过增加数据量是不起作用的。当训练集和测试集的误差之间有大的差距时,为高方差。当训练集的准确率比其他独立数据集上的测试结果的准确率要高时,一般都是过拟合。右上角方差很高,训练集和验证集的准确率相差太多,应该是过拟合。我们可以增大训练集,降低模型复杂度,增大正则项,或者通过特征选择减少特征数。理想情况是是找到偏差和方差都很小的情况,即收敛且误差较小。
一个最基本的问题大概会是什么特征对我模型预测的影响最大呢?这个东西就叫做“feature importance”即特征重要性。anyway,字面意思看着就很重要啦。我们有很多方法来衡量特征的重要性,这里呢,将会介绍一种方法:排列重要性。这种方法和其他方法比起来,优势有:
工作原理:排列重要性,一定是在model训练完成后,才可以计算的。简单来说,就是改变数据表格中某一列的数据的排列,保持其余特征不动,看其对预测精度的影响有多大。大概三个步骤:
代码示例:
from xgboost import XGBClassifier
from sklearn.model_selection import train_test_split
import eli5 # python计算permutation importance工具包
from eli5.sklearn import PermutationImportance
path = './census_income_dataset.csv'
data = pd.read_csv(path)
#...省略数据预处理过程
X_train, X_test, y_train, y_test = train_test_split(df, y, test_size=0.2, random_state = 400)
# 训练XGBoost模型
model = xgb.XGBClassifier(
learning_rate =0.05,
n_estimators=100,
max_depth=3,
min_child_weight=1,
gamma=0.3,
subsample=0.8,
colsample_bytree=0.8,
objective= 'multi:softprob',
nthread=4,
scale_pos_weight=1,
num_class=2,
seed=27
).fit(X_train, y_train)
perm = PermutationImportance(model, random_state = 1).fit(X_test, y_test) # 实例化
eli5.show_weights(perm, feature_names = X_test.columns.tolist())

结果分析:
shuffle 都会进行多次,然后取结果的均值和标准差;shuffle 之后,对精度反而有所提升。这通常出现在特征不那么重要的时候。当数据集较小的时候,这种情况更为常见;这个数据集是收入水平数据集,这个例子里,最重要的特征是“capital_gain”, 这看起来是合理的。
部分依赖图(PDP或PD图)显示特征对机器学习模型的预测结果的边际效应,可以展示一个特征是如何影响预测的。部分依赖图可以显示目标与特征之间的关系是线性的,单调的还是更复杂的。例如,当应用于线性回归模型时,部分依赖图总是显示线性关系。
回归的部分依赖函数定义为:


通常,集合SS中有一到两个特征,这个集合中的特征我们想知道他们对预测的影响。在集合SS和集合CC中的特征并集组成了全部特征空间x。边际化机器学习模型输出在集合C的特征分布上。PDP的一个假设是,C中的特征与s中的特征不相关。如果违反这个假设,部分依赖图的平均值将包括非常不可能甚至不可能的数据点。
边缘化概念
边缘化是一种通过累加一个变量的可能值以判定另一个变量的边缘分布的方法。这听起来有点抽象,让我们看一个例子:
假设我们想知道天气是如何影响英国人的幸福感的,也就是P(幸福感|天气)。假定我们具有衡量某人的幸福感所需的定义和设备,同时记录了某个英格兰人和某个苏格兰人所处位置的天气。可能苏格兰人通常而言要比英格兰人幸福。所以我们其实在衡量的是P(幸福感, 国|天气),即,我们同时考察幸福感和国。
边缘化告诉我们,我们可以通过累加国家的所有可能值(英国由3国组成:英格兰、苏格兰、威尔士),得到想要计算的数字,即P(幸福感|天气) = P(幸福感, 国=英格兰|天气) + P(幸福感, 国=苏格兰|天气) + P(幸福感, 国=威尔士|天气)。
部分函数f^xSf^xS通过计算在训练数据的平均值,即Monte Carlo方法:


特征重要性可以告诉你哪些特征是最重要的或者是不重要的。
partial dependence图可以告诉你一个特征是如何影响预测的。
PDP分析步骤如下:
PDP特别适合用来回答类似这样的问题:
如果你对线性回归或者逻辑回归比较熟悉,那么partial dependence可以被类比为这两类模型中的“系数”。并且partial dependence在复杂模型中的作用比在简单模型中更大,抓出更复杂的特性。
同样还是用census_income的数据集,不同的个体在各个方面都是不一样的。比如种族,年龄,受教育程度等等。一眼看过去,很难区分这些特征对结果的影响有多大。为了清晰的分析,我们还是先只拿出某一行数据,比如说这一行数据里,有种族White,45岁,Bachelors。我们将会用已有模型来预测结果,将这一行的某一个变量,反复的进行修改和重新预测,比如将年龄修改从45修改为60,等等。持续观察预测结果,在不同的年龄时有什么样的变化。
这里的例子,只用到了一行数据。特征之间的相互作用关系通过这一行来观察可能不太妥当,那么考虑用多行数据来进行试验,然后根据平均值画出图像来。
from pdpbox import pdp
feature = 'age'
# 创建好画图所需的数据
pdp_goals = pdp.pdp_isolate(model, X_train, df.columns, feature)
# 画出“age”这一特征的partial dependence plot
pdp.pdp_plot(pdp_goals, feature)
plt.show()

第一:y轴是预测结果的变化量。
第二:蓝色阴影区域代表了置信的大小。
从这幅图可以看出,age的增加肯定可以增加高收入概率,但是增加到一定的时候,对这个概率影响不大了。
置信区间概念
给定置信水平,根据估计值确定真实值可能出现的区间范围,该区间通常以估计值为中心,该区间则为置信区间。
feature = 'education_num'
pdp_goals = pdp.pdp_isolate(model, X_train, df.columns, feature)
pdp.pdp_plot(pdp_goals, feature)
plt.show()

从这副图可以看出,受教育程度对收入起积极作用,随着受的教育越多,收入越高,也符合常人理解。
fig, axes, summary_df_1 = info_plots.target_plot_interact(
df=dataset, features=['age', 'education_num'], feature_names=['age', 'education_num'], target='income_level'
)

在此图表中,气泡大小不太重要,因为它与观测数量(事件发生的次数)有关。最重要的见解来自气泡的颜色,较暗的气泡意味着更高的默认概率。这是一个强大的工具,因为它可以深入了解我们选择的两个变量对因变量的影响。
features_to_plot = ['age', 'education_num']
inter1 = pdp.pdp_interact(model, df, df.columns, features_to_plot)
pdp.pdp_interact_plot(inter1, features_to_plot, plot_type='grid', x_quantile=True, ncols = 2, plot_pdp=True)
plt.show()

上图可以看出,受教育程度和年龄对收入水平有着正相关作用,且随着受教育程度增加,年龄从35-90,高收入的概率越来越大。
fig, axes = pdp.pdp_interact_plot(
inter1, ['age', 'education_num'], plot_type='contour', x_quantile=True, ncols=2,
plot_pdp=True
)

重要的是要记住,在该图中,较暗的颜色并不一定意味着较高的默认概率。在这里,我们绘制了受教育等级和年龄与收入等级概率。我们可以推断,在这两个自变量中,education_num起着更重要的作用,因为等高线图主要是垂直的,遵循x轴刻度标记(至少达到一个点)。
部分依赖图(PDP)和个体条件期望图(ICE)说明了一个或多个输入变量与黑盒模型的预测结果之间的关系。它们都基于可视化,模型不可知的技术。ICE图可以更深入地探索个体差异并识别模型输入之间的子组和相互作用。
另一方面,ICE图使得可以深入到单个观察的水平。它们可以帮助探索个体差异,并确定模型输入之间的子组和交互。可以将每个ICE曲线视为一种模拟,显示如果改变特定观察的一个特征,模型预测会发生什么。为避免可视化过载,ICE图一次只显示一个模型变量。
可以将每个ICE曲线视为一种模拟,显示如果您改变特定观察的一个特征,模型预测会发生什么。如图9所示,通过在曲线变量的唯一值上复制个体观察并对每个重复进行评分,获得一个观察的ICE曲线。
下图中的PD图结果基本上是平坦的,给人的印象是X1与模型的预测之间没有关系。


当我们观察ICE图时,它们呈现出一幅截然不同的图:这种关系对于一次观察非常正面,但对另一次观察则非常负面。因此,与PD图告诉我们的情况相反,ICE图显示X1实际上与目标有关;。基本上,ICE图分离PD功能(毕竟是平均值)以揭示相互作用和个体差异。


当对大数据集分析时,则可能需要进行一些调整。例如,可以对选定的变量进行分箱,也可以对数据集进行采样或分组。这些技术可以更快地提供实际图的合理近似值。
如果想进一步了解PD和ICE图,Ray Wright写了一篇很好的论文,展示了PD和ICE图如何用于比较和获得机器学习模型的洞察力,特别是所谓的“黑盒”算法,如随机森林,神经网络和梯度增强。在他的论文中,他还讨论了PD图的局限性,并提供了有关如何为大数据生成可缩放图的建议。https://www.sas.com/content/dam/SAS/support/en/sas-global-forum-proceedings/2018/1950-2018.pdf
局部可解释不可知模型(LIME)是一种算法,它提供了一种新颖的技术,以可解释和可信任的方式解释任何预测模型的结果。它的工作原理是围绕想要解释的预测在本地训练可解释的模型。这个工作发表于2016年KDD的论文。工具学习地址。
流程:
通俗来说:
就是选择一个样本以及样本附近的点,然后训练一个简单模型来拟合,虽然简单模型不能在完整数据集上有效,但至少在这个点附近都是有效的,这个简单模型的特征是人类可解析的,而训练出的权重也可以表示特征重要性。
论文中算法描述:


为了更好地理解LIME的工作原理,让我们考虑两种不同类型的可解释性:
我们希望解释器与模型无关,并且在局部可靠。局部可靠的解释捕获要解释的实例邻域中的分类器行为。为了学习局部解释,LIME使用可解释的模型近似分类器围绕特定实例的决策边界。LIME与模型无关,这意味着它将模型视为黑盒子,并且不对模型行为做出任何假设。这使得LIME适用于任何预测模型。
LIME的核心在于三个方面:
LIME作用在单个样本上。
首先,我们取出一个样本,并(permute)重复这个数据同时增加一些微小扰动,这样就得到了一个新的数据集,数据集中包含相似的样本,都基于取出来的那个样本。对于这个新数据集中的每一个样本,我们可以计算它跟取出的样本之间的相似性,即在permutation中它被调整了多大,所有的统计距离、相似性矩阵都可以用在这里,比如用指定宽度的指数内核将欧式距离转化为相似度。
下一步,使用最初训练的复杂模型,在新数据上进行预测。正因为新数据样本间的细微差别,我们可以跟踪那些微小扰动对预测结果的影响。
最后,我们在新数据上训练出一个简单模型(通常是线性模型),并使用最重要的特征进行预测。最重要的特征有不同的决定方法,在指定加入模型解释中的特征数量(通常在5到10附近)的前提下,可以
## 创建LIME解释器
explainer = lime.lime_tabular.LimeTabularExplainer(X_train ,feature_names = features_name, class_names=['0','1'], categorical_features=data_cat_features,
categorical_names=cat_columns, kernel_width=3)
predict_fn_xgb = lambda x: xgb.predict_proba(x).astype(float)
exp = explainer.explain_instance(X_test[2], predict_fn_xgb, num_features=6)
exp.show_in_notebook(show_all=False)

上图给我们解释了对于一个样本的预测结果,是哪些特征决定样本被分类到类别0,哪些特征决定样本被分类到类别1,且具体列出样本在这些特征的数值大小。很直观和明确的解释为什么模型做这个决定。
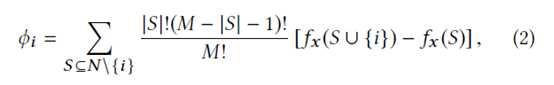
Shaply值由美国洛杉矶加州大学教授罗伊德·夏普利(Lloyd Shapley)提出,用于解决合作博弈的贡献和收益分配问题。N人合作中,单个成员的贡献不一样,收益分配也应该不一样。理想的分配方式是:贡献=收益;
贡献和收益分配是否有可以量化的方法呢?
Shapley方法就是这样一种方法:Shapley值:单个成员所得与自己的贡献相等。


基于Shap值的模型解释是一种和模型无关的方法。如上图,模型预测和Shap值解释是两个并行流程,Shap对模型预测的结果进行解释。NIPS 论文地址:A Unified Approach to Interpreting Model Predictions,也可以参考这篇博客:One Feature Attribution Method to (Supposedly) Rule Them All: Shapley Values。
原理:一个特征的shapley value是该特征在所有的特征序列中的平均边际贡献。
优点:
缺点:计算效率低。
适用范围:
Shap方法的两大特性
树模型Shap值的解


详细内容参考论文。
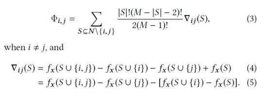
用Shap值识别特征交叉
Shap方法计算两两特征交叉影响:


通俗理解:交叉影响=两个人合作贡献增益,减去各自单干的贡献;
单个特征的贡献
Shap方法计算单个特征的贡献(剔除交叉影响):


通俗理解:个人影响=个人合作贡献,减去其它N-1个人的贡献;下面还是以收入水平数据集进行案例分析:
row_to_show = 5
data_for_prediction = X_test.iloc[row_to_show] # use 5 row of data here. Could use multiple rows if desired
data_for_prediction_array = data_for_prediction.values.reshape(1, -1)
# 计算model的shap值
explainer = shap.TreeExplainer(model)
# 计算样本数据的shap值
shap_values = explainer.shap_values(data_for_prediction)
shap.initjs()
shap.force_plot(explainer.expected_value[1], shap_values[1], data_for_prediction)

图形解释
特征解释
shap_values_b = explainer.shap_values(X_test)
shap.force_plot(explainer.expected_value[0], shap_values_b[0], X_test, link="logit")

特征解释
Summary Plots:
shap_values = explainer.shap_values(X_test)
shap.summary_plot(shap_values[1], X_test)

图形解释
特征解释:
shap.summary_plot(shap_values[1],X_test, plot_type="bar")

上图是特征重要性图谱,由上向下重要性依次减弱。
shap_values = explainer.shap_values(df)
shap.dependence_plot('age', shap_values[1], df, interaction_index="capital_gain")

图形解释:
特征解释:
本文系作者在时代Java发表,未经许可,不得转载。
如有侵权,请联系nowjava@qq.com删除。