本教程源代码目录在book/word2vec, 初次使用请参考PaddlePaddle安装教程。
背景介绍
本章我们介绍词的向量表征,也称为word embedding。词向量是自然语言处理中常见的一个操作,是搜索引擎、广告系统、推荐系统等互联网服务背后常见的基础技术。
在这些互联网服务里,我们经常要比较两个词或者两段文本之间的相关性。为了做这样的比较,我们往往先要把词表示成计算机适合处理的方式。最自然的方式恐怕莫过于向量空间模型(vector space model)。 在这种方式里,每个词被表示成一个实数向量(one-hot vector),其长度为字典大小,每个维度对应一个字典里的每个词,除了这个词对应维度上的值是1,其他元素都是0。
One-hot vector虽然自然,但是用处有限。比如,在互联网广告系统里,如果用户输入的query是“母亲节”,而有一个广告的关键词是“康乃馨”。虽然按照常理,我们知道这两个词之间是有联系的——母亲节通常应该送给母亲一束康乃馨;但是这两个词对应的one-hot vectors之间的距离度量,无论是欧氏距离还是余弦相似度(cosine similarity),由于其向量正交,都认为这两个词毫无相关性。 得出这种与我们相悖的结论的根本原因是:每个词本身的信息量都太小。所以,仅仅给定两个词,不足以让我们准确判别它们是否相关。要想精确计算相关性,我们还需要更多的信息——从大量数据里通过机器学习方法归纳出来的知识。
在机器学习领域里,各种“知识”被各种模型表示,词向量模型(word embedding model)就是其中的一类。通过词向量模型可将一个 one-hot vector映射到一个维度更低的实数向量(embedding vector),如$embedding(母亲节) = [0.3, 4.2, -1.5, ...], embedding(康乃馨) = [0.2, 5.6, -2.3, ...]$。在这个映射到的实数向量表示中,希望两个语义(或用法)上相似的词对应的词向量“更像”,这样如“母亲节”和“康乃馨”的对应词向量的余弦相似度就不再为零了。
词向量模型可以是概率模型、共生矩阵(co-occurrence matrix)模型或神经元网络模型。在用神经网络求词向量之前,传统做法是统计一个词语的共生矩阵$X$。$X$是一个$|V| \times |V|$ 大小的矩阵,$X_{ij}$表示在所有语料中,词汇表V(vocabulary)中第i个词和第j个词同时出现的词数,$|V|$为词汇表的大小。对$X$做矩阵分解(如奇异值分解,Singular Value Decomposition [5]),得到的$U$即视为所有词的词向量:
$$X = USV^T$$
但这样的传统做法有很多问题:
1) 由于很多词没有出现,导致矩阵极其稀疏,因此需要对词频做额外处理来达到好的矩阵分解效果;
2) 矩阵非常大,维度太高(通常达到$10^6*10^6$的数量级);
3) 需要手动去掉停用词(如although, a,...),不然这些频繁出现的词也会影响矩阵分解的效果。
基于神经网络的模型不需要计算存储一个在全语料上统计的大表,而是通过学习语义信息得到词向量,因此能很好地解决以上问题。在本章里,我们将展示基于神经网络训练词向量的细节,以及如何用PaddlePaddle训练一个词向量模型。
效果展示
本章中,当词向量训练好后,我们可以用数据可视化算法t-SNE[4]画出词语特征在二维上的投影(如下图所示)。从图中可以看出,语义相关的词语(如a, the, these; big, huge)在投影上距离很近,语意无关的词(如say, business; decision, japan)在投影上的距离很远。

图1. 词向量的二维投影
另一方面,我们知道两个向量的余弦值在$[-1,1]$的区间内:两个完全相同的向量余弦值为1, 两个相互垂直的向量之间余弦值为0,两个方向完全相反的向量余弦值为-1,即相关性和余弦值大小成正比。因此我们还可以计算两个词向量的余弦相似度:
similarity: 0.899180685161
please input two words: big huge
please input two words: from company
similarity: -0.0997506977351
以上结果可以通过运行calculate_dis.py, 加载字典里的单词和对应训练特征结果得到,我们将在应用模型中详细描述用法。
模型概览
在这里我们介绍三个训练词向量的模型:N-gram模型,CBOW模型和Skip-gram模型,它们的中心思想都是通过上下文得到一个词出现的概率。对于N-gram模型,我们会先介绍语言模型的概念,并在之后的训练模型中,带大家用PaddlePaddle实现它。而后两个模型,是近年来最有名的神经元词向量模型,由 Tomas Mikolov 在Google 研发[3],虽然它们很浅很简单,但训练效果很好。
语言模型
在介绍词向量模型之前,我们先来引入一个概念:语言模型。 语言模型旨在为语句的联合概率函数$P(w_1, ..., w_T)$建模, 其中$w_i$表示句子中的第i个词。语言模型的目标是,希望模型对有意义的句子赋予大概率,对没意义的句子赋予小概率。 这样的模型可以应用于很多领域,如机器翻译、语音识别、信息检索、词性标注、手写识别等,它们都希望能得到一个连续序列的概率。 以信息检索为例,当你在搜索“how long is a football bame”时(bame是一个医学名词),搜索引擎会提示你是否希望搜索"how long is a football game", 这是因为根据语言模型计算出“how long is a football bame”的概率很低,而与bame近似的,可能引起错误的词中,game会使该句生成的概率最大。
对语言模型的目标概率$P(w_1, ..., w_T)$,如果假设文本中每个词都是相互独立的,则整句话的联合概率可以表示为其中所有词语条件概率的乘积,即:
$$P(w_1, ..., w_T) = \prod_{t=1}^TP(w_t)$$
然而我们知道语句中的每个词出现的概率都与其前面的词紧密相关, 所以实际上通常用条件概率表示语言模型:
$$P(w_1, ..., w_T) = \prod_{t=1}^TP(w_t | w_1, ... , w_{t-1})$$
N-gram neural model
在计算语言学中,n-gram是一种重要的文本表示方法,表示一个文本中连续的n个项。基于具体的应用场景,每一项可以是一个字母、单词或者音节。 n-gram模型也是统计语言模型中的一种重要方法,用n-gram训练语言模型时,一般用每个n-gram的历史n-1个词语组成的内容来预测第n个词。
Yoshua Bengio等科学家就于2003年在著名论文 Neural Probabilistic Language Models [1] 中介绍如何学习一个神经元网络表示的词向量模型。文中的神经概率语言模型(Neural Network Language Model,NNLM)通过一个线性映射和一个非线性隐层连接,同时学习了语言模型和词向量,即通过学习大量语料得到词语的向量表达,通过这些向量得到整个句子的概率。用这种方法学习语言模型可以克服维度灾难(curse of dimensionality),即训练和测试数据不同导致的模型不准。注意:由于“神经概率语言模型”说法较为泛泛,我们在这里不用其NNLM的本名,考虑到其具体做法,本文中称该模型为N-gram neural model。
我们在上文中已经讲到用条件概率建模语言模型,即一句话中第$t$个词的概率和该句话的前$t-1$个词相关。可实际上越远的词语其实对该词的影响越小,那么如果考虑一个n-gram, 每个词都只受其前面n-1个词的影响,则有:
$$P(w_1, ..., w_T) = \prod_{t=n}^TP(w_t|w_{t-1}, w_{t-2}, ..., w_{t-n+1})$$
给定一些真实语料,这些语料中都是有意义的句子,N-gram模型的优化目标则是最大化目标函数:
$$\frac{1}{T}\sum_t f(w_t, w_{t-1}, ..., w_{t-n+1};\theta) + R(\theta)$$
其中$f(w_t, w_{t-1}, ..., w_{t-n+1})$表示根据历史n-1个词得到当前词$w_t$的条件概率,$R(\theta)$表示参数正则项。

图2. N-gram神经网络模型
图2展示了N-gram神经网络模型,从下往上看,该模型分为以下几个部分:
对于每个样本,模型输入$w_{t-n+1},...w_{t-1}$, 输出句子第t个词为字典中|V|个词的概率。
每个输入词$w_{t-n+1},...w_{t-1}$首先通过映射矩阵映射到词向量$C(w_{t-n+1}),...C(w_{t-1})$。
然后所有词语的词向量连接成一个大向量,并经过一个非线性映射得到历史词语的隐层表示:
$$g=Utanh(\theta^Tx + b_1) + Wx + b_2$$
其中,$x$为所有词语的词向量连接成的大向量,表示文本历史特征;$\theta$、$U$、$b_1$、$b_2$和$W$分别为词向量层到隐层连接的参数。$g$表示未经归一化的所有输出单词概率,$g_i$表示未经归一化的字典中第$i$个单词的输出概率。
根据softmax的定义,通过归一化$g_i$, 生成目标词$w_t$的概率为:
$$P(w_t | w_1, ..., w_{t-n+1}) = \frac{e^{g_{w_t}}}{\sum_i^{|V|} e^{g_i}}$$
整个网络的损失值(cost)为多类分类交叉熵,用公式表示为
$$J(\theta) = -\sum_{i=1}^N\sum_{c=1}^{|V|}y_k^{i}log(softmax(g_k^i))$$
其中$y_k^i$表示第$i$个样本第$k$类的真实标签(0或1),$softmax(g_k^i)$表示第i个样本第k类softmax输出的概率。
Continuous Bag-of-Words model(CBOW)
CBOW模型通过一个词的上下文(各N个词)预测当前词。当N=2时,模型如下图所示:

图3. CBOW模型
具体来说,不考虑上下文的词语输入顺序,CBOW是用上下文词语的词向量的均值来预测当前词。即:
$$context = \frac{x_{t-1} + x_{t-2} + x_{t+1} + x_{t+2}}{4}$$
其中$x_t$为第$t$个词的词向量,分类分数(score)向量 $z=U*context$,最终的分类$y$采用softmax,损失函数采用多类分类交叉熵。
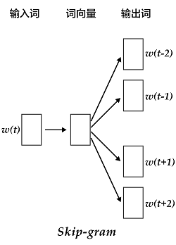
Skip-gram model
CBOW的好处是对上下文词语的分布在词向量上进行了平滑,去掉了噪声,因此在小数据集上很有效。而Skip-gram的方法中,用一个词预测其上下文,得到了当前词上下文的很多样本,因此可用于更大的数据集。

图4. Skip-gram模型
如上图所示,Skip-gram模型的具体做法是,将一个词的词向量映射到$2n$个词的词向量($2n$表示当前输入词的前后各$n$个词),然后分别通过softmax得到这$2n$个词的分类损失值之和。
数据准备
数据介绍
本教程使用Penn Treebank (PTB)(经Tomas Mikolov预处理过的版本)数据集。PTB数据集较小,训练速度快,应用于Mikolov的公开语言模型训练工具[2]中。其统计情况如下:
数据预处理
本章训练的是5-gram模型,表示在PaddlePaddle训练时,每条数据的前4个词用来预测第5个词。PaddlePaddle提供了对应PTB数据集的python包paddle.dataset.imikolov,自动做数据的下载与预处理,方便大家使用。
预处理会把数据集中的每一句话前后加上开始符号<s>以及结束符号<e>。然后依据窗口大小(本教程中为5),从头到尾每次向右滑动窗口并生成一条数据。
如"I have a dream that one day" 一句提供了5条数据:
<s> I have a dream
I have a dream that
have a dream that one
a dream that one day
dream that one day <e>
最后,每个输入会按其单词次在字典里的位置,转化成整数的索引序列,作为PaddlePaddle的输入。
编程实现
本配置的模型结构如下图所示:

图5. 模型配置中的N-gram神经网络模型
首先,加载所需要的包:
import math
import paddle.v2 as paddle
然后,定义参数:
embsize = 32 # 词向量维度
hiddensize = 256 # 隐层维度
N = 5 # 训练5-Gram
接着,定义网络结构:
将$w_t$之前的$n-1$个词 $w_{t-n+1},...w_{t-1}$,通过$|V|\times D$的矩阵映射到D维词向量(本例中取D=32)。
def wordemb(inlayer):
wordemb = paddle.layer.table_projection(
input=inlayer,
size=embsize,
param_attr=paddle.attr.Param(
name="_proj",
initial_std=0.001,
learning_rate=1,
l2_rate=0,
sparse_update=True))
return wordemb
定义输入层接受的数据类型以及名字。
paddle.init(use_gpu=False, trainer_count=3) # 初始化PaddlePaddle
word_dict = paddle.dataset.imikolov.build_dict()
dict_size = len(word_dict)
# 每个输入层都接受整形数据,这些数据的范围是[0, dict_size)
firstword = paddle.layer.data(
name="firstw", type=paddle.data_type.integer_value(dict_size))
secondword = paddle.layer.data(
name="secondw", type=paddle.data_type.integer_value(dict_size))
thirdword = paddle.layer.data(
name="thirdw", type=paddle.data_type.integer_value(dict_size))
fourthword = paddle.layer.data(
name="fourthw", type=paddle.data_type.integer_value(dict_size))
nextword = paddle.layer.data(
name="fifthw", type=paddle.data_type.integer_value(dict_size))
Efirst = wordemb(firstword)
Esecond = wordemb(secondword)
Ethird = wordemb(thirdword)
Efourth = wordemb(fourthword)
将这n-1个词向量经过concat_layer连接成一个大向量作为历史文本特征。
contextemb = paddle.layer.concat(input=[Efirst, Esecond, Ethird, Efourth])
将历史文本特征经过一个全连接得到文本隐层特征。
hidden1 = paddle.layer.fc(input=contextemb,
size=hiddensize,
act=paddle.activation.Sigmoid(),
layer_attr=paddle.attr.Extra(drop_rate=0.5),
bias_attr=paddle.attr.Param(learning_rate=2),
param_attr=paddle.attr.Param(
initial_std=1. / math.sqrt(embsize * 8),
learning_rate=1))
将文本隐层特征,再经过一个全连接,映射成一个$|V|$维向量,同时通过softmax归一化得到这|V|个词的生成概率。
predictword = paddle.layer.fc(input=hidden1,
size=dict_size,
bias_attr=paddle.attr.Param(learning_rate=2),
act=paddle.activation.Softmax())
网络的损失函数为多分类交叉熵,可直接调用classification_cost函数。
cost = paddle.layer.classification_cost(input=predictword, label=nextword)
然后,指定训练相关的参数:
训练方法(optimizer): 代表训练过程在更新权重时采用动量优化器,本教程使用Adam优化器。
训练速度(learning_rate): 迭代的速度,与网络的训练收敛速度有关系。
正则化(regularization): 是防止网络过拟合的一种手段,此处采用L2正则化。
parameters = paddle.parameters.create(cost)
adagrad = paddle.optimizer.AdaGrad(
learning_rate=3e-3,
regularization=paddle.optimizer.L2Regularization(8e-4))
trainer = paddle.trainer.SGD(cost, parameters, adagrad)
下一步,我们开始训练过程。paddle.dataset.imikolov.train()和paddle.dataset.imikolov.test()分别做训练和测试数据集。这两个函数各自返回一个reader——PaddlePaddle中的reader是一个Python函数,每次调用的时候返回一个Python generator。
paddle.batch的输入是一个reader,输出是一个batched reader —— 在PaddlePaddle里,一个reader每次yield一条训练数据,而一个batched reader每次yield一个minbatch。
import gzip
def event_handler(event):
if isinstance(event, paddle.event.EndIteration):
if event.batch_id % 100 == 0:
print "Pass %d, Batch %d, Cost %f, %s" % (
event.pass_id, event.batch_id, event.cost, event.metrics)
if isinstance(event, paddle.event.EndPass):
result = trainer.test(
paddle.batch(
paddle.dataset.imikolov.test(word_dict, N), 32))
print "Pass %d, Testing metrics %s" % (event.pass_id, result.metrics)
with gzip.open("model_%d.tar.gz"%event.pass_id, 'w') as f:
parameters.to_tar(f)
trainer.train(
paddle.batch(paddle.dataset.imikolov.train(word_dict, N), 32),
num_passes=100,
event_handler=event_handler)
Pass 0, Batch 0, Cost 7.870579, {'classification_error_evaluator': 1.0}, Testing metrics {'classification_error_evaluator': 0.999591588973999}
Pass 0, Batch 100, Cost 6.136420, {'classification_error_evaluator': 0.84375}, Testing metrics {'classification_error_evaluator': 0.8328699469566345}
Pass 0, Batch 200, Cost 5.786797, {'classification_error_evaluator': 0.8125}, Testing metrics {'classification_error_evaluator': 0.8328542709350586}
...
训练过程是完全自动的,event_handler里打印的日志类似如上所示:
经过30个pass,我们将得到平均错误率为classification_error_evaluator=0.735611。
应用模型
训练模型后,我们可以加载模型参数,用训练出来的词向量初始化其他模型,也可以将模型查看参数用来做后续应用。
查看词向量
PaddlePaddle训练出来的参数可以直接使用parameters.get()获取出来。例如查看单词apple的词向量,即为
embeddings = parameters.get("_proj").reshape(len(word_dict), embsize)
print embeddings[word_dict['apple']]